一般工程上计算时,水管路����� �������Ƴ����������� �������Ƴ������������ �������Ƴ������������ �������Ƴ�������,压力常见为0.1--0.6MPa����� �������Ƴ����������� �������Ƴ������������ �������Ƴ������������ �������Ƴ�������,水在水管中流速在1--3米/秒,常取1.5米/����� �������Ƴ������������ �������Ƴ������������ �������Ƴ������������ �������Ƴ�������秒。
流量=管截面积X流速=0.002827X����� �������Ƴ������������ �������Ƴ����������� �������Ƴ������������ �������Ƴ�������管内径的平方X流速 &nb����� �������Ƴ������������ �������Ƴ������������ �������Ƴ������������ �������Ƴ�������sp;  ����� �������Ƴ������������ �������Ƴ������������ �������Ƴ������������ �������Ƴ�������; (立方米/小时)。
其中,管内径单位:mm&nbs����� �������Ƴ������������ �������Ƴ������������ �������Ƴ������������ �������Ƴ������p;,流速单位:米/秒&nbs����� �������Ƴ������������ �������Ƴ������������ �������Ƴ������������ �������Ƴ������p;,饱和蒸汽的公式与水相同,只是流速一般取2����� �������Ƴ������������ �������Ƴ������������ �������Ƴ������������ �������Ƴ�������0--40米/秒。
水头损失计算Chezy 公式
Chezy

这里:
Q ����� �������Ƴ������������ �������Ƴ������������ �������Ƴ����������� �������Ƴ�������——断面水流量(m3/s)
C ——Chezy糙率系数(m1/2/s)
A ����� �������Ƴ������������ �������Ƴ����������� �������Ƴ������������ �������Ƴ�������——断面面积(m2)
R ����� �������Ƴ����������� �������Ƴ����������� �������Ƴ������������ �������Ƴ������� ——水力半径(m)
S —����� �������Ƴ������������ �������Ƴ����������� �������Ƴ������������ �������Ƴ�������—水力坡度(m/m)
根据需要也可以变换为其它表示方法:
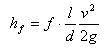
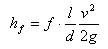
Darcy-Weisbach公式

由于
这里:
hf ——沿程水头损失(mm3/s)
f &����� �������Ƴ������������ �������Ƴ������������ �������Ƴ������������ �������Ƴ�������nbsp;——Darcy-Weisbac����� �������Ƴ����������� �������Ƴ������������ �������Ƴ������������ �������Ƴ�������h水头损失系数(无量纲)
l &n����� �������Ƴ������������ �������Ƴ������������ �������Ƴ������������ �������Ƴ�������bsp;——管道长度(m)
d  ����� �������Ƴ������������ �������Ƴ����������� �������Ƴ������������ �������Ƴ�������; ——管道内径(mm)
v &����� �������Ƴ������������ �������Ƴ������������ �������Ƴ������������ �������Ƴ�������nbsp; ——管道流速(m/s)
g &nbs����� �������Ƴ������������ �������Ƴ����������� �������Ƴ������������ �������Ƴ�������p;——重力加速度(m/s2)
水力计算是输配水管道设计的核心����� �������Ƴ������������ �������Ƴ������������ �������Ƴ����������� �������Ƴ������,其实质就是在保证用户水量、����� �������Ƴ������������ �������Ƴ����������� �������Ƴ������������ �������Ƴ�������水压安全的条件下,通过水力计算优化设计方����� �������Ƴ������������ �������Ƴ������������ �������Ƴ������������ �������Ƴ�������案,选择合适的管材和确经济管径。输配����� �������Ƴ������������ �������Ƴ����������� �������Ƴ������������ �������Ƴ�������水管道水力计算包含沿程水头损失和局部水头损失����� �������Ƴ������������ �������Ƴ������������ �������Ƴ������������ �������Ƴ�������,而局部水头损失一般仅为沿程水头损失的5����� �������Ƴ������������ �������Ƴ������������ �������Ƴ������������ �������Ƴ�������~10%,因此本文主要研究、探讨管道����� �������Ƴ������������ �������Ƴ������������ �������Ƴ������������ �������Ƴ�������沿程水头损失的计算方法。
管网建模之基本公式篇
一、管渠沿程水头损失
谢才公式


圆管满流,沿程水头损失也可以用达����� �������Ƴ������������ �������Ƴ������������ �������Ƴ������������ �������Ƴ�������西公式表示:

hf——沿程水头损失(mm3/s)
λ——Darcy-Weisbach水头损失系数(无量纲)
l ����� �������Ƴ������������ �������Ƴ������������ �������Ƴ������������ �������Ƴ������� ——管道长度(m)
d &n����� �������Ƴ����������� �������Ƴ������������ �������Ƴ����������� �������Ƴ�������bsp;——管道内径(mm)
v &nb����� �������Ƴ������������ �������Ƴ������������ �������Ƴ������������ �������Ƴ�������sp; ——管道流速(m/s)
g ����� �������Ƴ������������ �������Ƴ������������ �������Ƴ������������ �������Ƴ������� &nb����� �������Ƴ������������ �������Ƴ������������ �������Ƴ������������ �������Ƴ������sp;——重力加速度(m/s2)
C、λ与水流流态有关,一般采用经验公式或����� �������Ƴ����������� �������Ƴ������������ �������Ƴ������������ �������Ƴ�������半经验公式计算。常用:
1.舍维列夫公式(适用:旧铸铁管����� �������Ƴ������������ �������Ƴ������������ �������Ƴ������������ �������Ƴ�������和旧钢管满管紊流,水温100C0(给水����� �������Ƴ����������� �������Ƴ����������� �������Ƴ������������ �������Ƴ������管道计算)
)


2.海曾-威廉公式
适用:较光滑圆管满流紊流(给水管道)

3.柯尔勃洛克-怀特公式
适用:各种紊流,是适应性和计算精度大高的公����� �������Ƴ������������ �������Ƴ������������ �������Ƴ����������� �������Ƴ�������式

4. 巴甫洛夫斯基公式
适用:明渠流、非满流排水管����� �������Ƴ������������ �������Ƴ������������ �������Ƴ����������� �������Ƴ�������道

5.曼宁公式
曼宁公式是巴甫洛夫斯基公式中y=1/6时����� �������Ƴ������������ �������Ƴ������������ �������Ƴ������������ �������Ƴ�������的特例,适用于明渠或较粗糙的管道计����� �������Ƴ������������ �������Ƴ������������ �������Ƴ������������ �������Ƴ�������算。

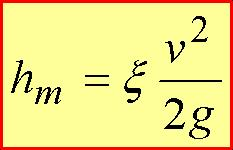
二、局部水头损失计算

式中 &nb����� �������Ƴ������������ �������Ƴ������������ �������Ƴ������������ �������Ƴ�������sp;hm——局部水头损失,m;����� �������Ƴ������������ �������Ƴ������������ �������Ƴ������������ �������Ƴ�������
&����� �������Ƴ����������� �������Ƴ������������ �������Ƴ������������ �������Ƴ�������nbsp;  ����� �������Ƴ����������� �������Ƴ����������� �������Ƴ������������ �������Ƴ�������; &nbs����� �������Ƴ������������ �������Ƴ������������ �������Ƴ������������ �������Ƴ�������p;ξ——局部阻力系数。
给水排水管网中局部水头损失一般不超过����� �������Ƴ������������ �������Ƴ������������ �������Ƴ������������ �������Ƴ������沿程水头损失的5%,常忽略局部����� �������Ƴ������������ �������Ƴ������������ �������Ƴ������������ �������Ƴ�������水头损失的影响,不会造成大的计算误差。&nb����� �������Ƴ������������ �������Ƴ����������� �������Ƴ������������ �������Ƴ�������sp;
沿程水头损失计算公式的比����� �������Ƴ������������ �������Ƴ������������ �������Ƴ������������ �������Ƴ������较与选用
Ø ����� �������Ƴ����������� �������Ƴ������������ �������Ƴ������������ �������Ƴ������� ����� �������Ƴ������������ �������Ƴ����������� �������Ƴ����������� �������Ƴ������� 巴甫洛夫斯基公式适用范围广����� �������Ƴ������������ �������Ƴ������������ �������Ƴ������������ �������Ƴ�������,计算精度也较高,特别是对����� �������Ƴ������������ �������Ƴ������������ �������Ƴ������������ �������Ƴ�������于较粗糙的管道,管道水流状态仍保持较准确的计����� �������Ƴ������������ �������Ƴ������������ �������Ƴ����������� �������Ƴ�������算结果,大佳适用范围为1.0≤e≤����� �������Ƴ������������ �������Ƴ������������ �������Ƴ������������ �������Ƴ�������5.0mm;
Ø &n����� �������Ƴ������������ �������Ƴ������������ �������Ƴ������������ �������Ƴ�������bsp; ����� �������Ƴ������������ �������Ƴ����������� �������Ƴ������������ �������Ƴ������� 曼宁公式亦适用于较粗糙的管道,����� �������Ƴ������������ �������Ƴ������������ �������Ƴ����������� �������Ƴ�������大佳适用范围为0.5≤e≤4.0m����� �������Ƴ������������ �������Ƴ����������� �������Ƴ����������� �������Ƴ�������m;
Ø ����� �������Ƴ������������ �������Ƴ������������ �������Ƴ������������ �������Ƴ������� &n����� �������Ƴ������������ �������Ƴ������������ �������Ƴ������������ �������Ƴ�������bsp; 海曾-威廉公式则适用于较光滑����� �������Ƴ������������ �������Ƴ������������ �������Ƴ������������ �������Ƴ�������的管道,特别是当e≤0.25����� �������Ƴ������������ �������Ƴ������������ �������Ƴ������������ �������Ƴ�������mm(CW≥130)时,该公式较其它公式有较高的����� �������Ƴ������������ �������Ƴ������������ �������Ƴ������������ �������Ƴ�������计算精度;
Ø &n����� �������Ƴ����������� �������Ƴ������������ �������Ƴ������������ �������Ƴ�������bsp; &nb����� �������Ƴ������������ �������Ƴ����������� �������Ƴ������������ �������Ƴ������sp; 舍维列夫公式在1.0≤e≤1.5mm之间����� �������Ƴ������������ �������Ƴ������������ �������Ƴ����������� �������Ƴ�������给出了令人满意的结果,对旧����� �������Ƴ������������ �������Ƴ������������ �������Ƴ������������ �������Ƴ�������金属管道较适用,但对管壁����� �������Ƴ������������ �������Ƴ������������ �������Ƴ������������ �������Ƴ�������光滑或特别粗糙的管道是不适用的
三、设计用水量
大高日设计用水量计算Qd

消防用水量(校核时使用)
四、管段设计流量计算

1.1 管道常用沿程水头损失计算公式及适����� �������Ƴ������������ �������Ƴ������������ �������Ƴ������������ �������Ƴ�������用条件
管道沿程水头损失是水流摩阻����� �������Ƴ������������ �������Ƴ������������ �������Ƴ������������ �������Ƴ�������做功消耗的能量,不同的水流流态,遵循不同的规律����� �������Ƴ������������ �������Ƴ������������ �������Ƴ������������ �������Ƴ������,计算方法也不一样。输配水管道水流流态都处在紊流����� �������Ƴ������������ �������Ƴ������������ �������Ƴ������������ �������Ƴ������区,紊流区水流的阻力是水����� �������Ƴ������������ �������Ƴ������������ �������Ƴ������������ �������Ƴ�������的粘滞力及水流速度与压强脉动的结果。紊流又根据����� �������Ƴ������������ �������Ƴ������������ �������Ƴ������������ �������Ƴ�������阻力特征划分为水力光滑区、过渡区、粗糙区。管道沿����� �������Ƴ������������ �������Ƴ������������ �������Ƴ������������ �������Ƴ������程水头损失计算公式都有适����� �������Ƴ������������ �������Ƴ������������ �������Ƴ������������ �������Ƴ������用范围和条件,一般都以水流阻力特征区划分。
水流阻力特征区的判别方法,工����� �������Ƴ������������ �������Ƴ������������ �������Ƴ������������ �������Ƴ�������程设计宜采用数值做为判别式,目前X内管道经常采用����� �������Ƴ����������� �������Ƴ������������ �������Ƴ����������� �������Ƴ������的沿程水头损失水力计算公式及相应的����� �������Ƴ������������ �������Ƴ������������ �������Ƴ������������ �������Ƴ�������摩阻力系数,按照水流阻力特征区划分如表1。
沿程水头损失水力计算公式和摩阻系数 ����� �������Ƴ������������ �������Ƴ������������ �������Ƴ������������ �������Ƴ������� 表1
|
阻力特征区
|
适用条件
|
水力公式、摩阻系数
|
符号意义
|
|
水力光滑区
|
>10
|
|
雷诺数
h:管道沿程水����� �������Ƴ������������ �������Ƴ������������ �������Ƴ������������ �������Ƴ�������头损失
v:平均流速
d:管道内径
γ:水的运动粘滞系数
λ:沿程摩阻系数
Δ:管道当量粗糙度
q:管道流量
Ch:海曾-威廉系数
C:谢才系数
R:水力半径
n:粗糙系数
i:水力坡降
l:管道计算长度
|
|
紊流过渡区
|
10<&����� �������Ƴ������������ �������Ƴ������������ �������Ƴ������������ �������Ƴ�������lt;500
|
(1)
(2)
|
|
紊流粗糙区
|
>500
|
|
达西公式是管道沿程水力计����� �������Ƴ������������ �������Ƴ������������ �������Ƴ������������ �������Ƴ�������算基本公式,是一个半理论半经验����� �������Ƴ������������ �������Ƴ������������ �������Ƴ������������ �������Ƴ�������的计算通式,它适用于流态����� �������Ƴ������������ �������Ƴ������������ �������Ƴ������������ �������Ƴ�������的不同区间,其中摩阻系数λ可采用柯列布鲁克����� �������Ƴ������������ �������Ƴ������������ �������Ƴ������������ �������Ƴ�������公式计算,克列布鲁克公式考虑的因����� �������Ƴ������������ �������Ƴ������������ �������Ƴ������������ �������Ƴ�������素多,适用范围广泛,被认为紊流区����� �������Ƴ������������ �������Ƴ������������ �������Ƴ����������� �������Ƴ�������λ的综合计算公式。利用达西公式和柯列����� �������Ƴ������������ �������Ƴ������������ �������Ƴ������������ �������Ƴ�������布鲁克公式组合进行管道沿程水头损失计算精度高����� �������Ƴ������������ �������Ƴ������������ �������Ƴ������������ �������Ƴ�������,但计算方法麻烦,习惯上多用在紊流的阻力过渡区����� �������Ƴ������������ �������Ƴ����������� �������Ƴ������������ �������Ƴ�������。
海曾—威廉公式适用紊流过渡区,其中水头����� �������Ƴ������������ �������Ƴ������������ �������Ƴ������������ �������Ƴ�������损失与流速的1.852次方成比例(过渡区����� �������Ƴ������������ �������Ƴ������������ �������Ƴ������������ �������Ƴ�������水头损失h∝V1.75~2.0)。该式计算方法简����� �������Ƴ������������ �������Ƴ������������ �������Ƴ������������ �������Ƴ�������捷,在美X做为给水系统配水����� �������Ƴ������������ �������Ƴ������������ �������Ƴ������������ �������Ƴ�������管道水力计算的标准式,在欧洲����� �������Ƴ������������ �������Ƴ������������ �������Ƴ����������� �������Ƴ�������与日本广泛应用,近几年我X也普遍用做配水管网的����� �������Ƴ������������ �������Ƴ������������ �������Ƴ����������� �������Ƴ�������水力计算。
谢才公式也应是管道沿程水头损失通式,且����� �������Ƴ������������ �������Ƴ������������ �������Ƴ������������ �������Ƴ�������在我X应用时间久、范围广,积累����� �������Ƴ������������ �������Ƴ������������ �������Ƴ����������� �������Ƴ�������了较多的工程资料。但由于谢才系数C采用巴甫洛夫����� �������Ƴ������������ �������Ƴ������������ �������Ƴ������������ �������Ƴ�������公式或曼宁公式计算确定,而这两个公式只适用����� �������Ƴ������������ �������Ƴ������������ �������Ƴ������������ �������Ƴ�������于紊流的阻力粗糙区,因此谢才公式也仅用在阻力����� �������Ƴ������������ �������Ƴ������������ �������Ƴ������������ �������Ƴ�������粗糙区。
另外舍维列夫公式,前一段时期也广泛的用做����� �������Ƴ����������� �������Ƴ������������ �������Ƴ������������ �������Ƴ�������给水管道水力计算,但该公式是由旧钢管和旧铸铁管����� �������Ƴ������������ �������Ƴ������������ �������Ƴ������������ �������Ƴ�������管材试验资料确定的。而现在X内采用的金����� �������Ƴ������������ �������Ƴ������������ �������Ƴ����������� �������Ƴ�������属管道已普遍采用水泥砂浆和涂料做内衬����� �������Ƴ������������ �������Ƴ������������ �������Ƴ������������ �������Ƴ�������,条件已发生变化,因此舍维列夫公式也����� �������Ƴ������������ �������Ƴ������������ �������Ƴ������������ �������Ƴ�������基本不再采用。
1.2 输配水管道沿程水头损计算����� �������Ƴ������������ �������Ƴ������������ �������Ƴ������������ �������Ƴ�������的实用公式
输配水管道沿程水头计算时,先采用判别����� �������Ƴ������������ �������Ƴ������������ �������Ƴ������������ �������Ƴ�������水流的阻力特征用,再选择相应的公式����� �������Ƴ����������� �������Ƴ������������ �������Ƴ������������ �������Ƴ�������计算,科学合理,但操作麻烦,特别在����� �������Ƴ������������ �������Ƴ������������ �������Ƴ������������ �������Ƴ������流速是待求的未知数时,需要采用试算的方法确定雷����� �������Ƴ������������ �������Ƴ������������ �������Ƴ������������ �������Ƴ�������诺数(Re)很不方便。为了使输配水管道水����� �������Ƴ������������ �������Ƴ������������ �������Ƴ������������ �������Ƴ�������力计算能满足工程设计的需����� �������Ƴ������������ �������Ƴ������������ �������Ƴ������������ �������Ƴ�������要,又可以方便的选择计算公式����� �������Ƴ������������ �������Ƴ������������ �������Ƴ������������ �������Ƴ�������和进行简捷的计算,根据多年来管道水力计����� �������Ƴ������������ �������Ƴ������������ �������Ƴ������������ �������Ƴ�������算的经验,《室外给水设计规范》G����� �������Ƴ����������� �������Ƴ������������ �������Ƴ������������ �������Ƴ�������BJ13-86修编报批稿����� �������Ƴ����������� �������Ƴ������������ �������Ƴ������������ �������Ƴ�������,依据管材的不同和流速的常用范围,确����� �������Ƴ������������ �������Ƴ������������ �������Ƴ������������ �������Ƴ�������定输配水管道沿程水头损失计����� �������Ƴ������������ �������Ƴ������������ �������Ƴ������������ �������Ƴ�������算公式如下:
(1)塑料管 ����� �������Ƴ������������ �������Ƴ����������� �������Ƴ������������ �������Ƴ�������;
(2)混凝土管(渠)及采用水泥砂浆内衬的金����� �������Ƴ������������ �������Ƴ������������ �������Ƴ������������ �������Ƴ������属管道
(3)输配水管道、配水管网����� �������Ƴ������������ �������Ƴ������������ �������Ƴ������������ �������Ƴ�������水力平差计算
2.1 管道摩阻系数的属性及应用条件
每个管道沿程水力计算公式都有相应����� �������Ƴ������������ �������Ƴ������������ �������Ƴ������������ �������Ƴ�������的摩阻系数和确定方法,表达形式也不一样����� �������Ƴ������������ �������Ƴ����������� �������Ƴ������������ �������Ƴ������。摩阻系数是一个未知数,应由试验确定。但����� �������Ƴ������������ �������Ƴ������������ �������Ƴ������������ �������Ƴ�������实际应用时,一般都依据不同的管材和其����� �������Ƴ����������� �������Ƴ������������ �������Ƴ������������ �������Ƴ�������不同的内壁光滑程度,参考已有的资料,����� �������Ƴ����������� �������Ƴ������������ �������Ƴ������������ �������Ƴ������由设计人员计算时选择采用。该数����� �������Ƴ������������ �������Ƴ������������ �������Ƴ����������� �������Ƴ�������值非常重要,但随意性很大,而且取值����� �������Ƴ������������ �������Ƴ������������ �������Ƴ������������ �������Ƴ�������的结果直接影响水力计算成果����� �������Ƴ������������ �������Ƴ������������ �������Ƴ������������ �������Ƴ�������的精度。因此了解和熟悉摩阻系数的����� �������Ƴ������������ �������Ƴ������������ �������Ƴ������������ �������Ƴ�������属性,掌握取值的方法和技巧,也同样是����� �������Ƴ����������� �������Ƴ����������� �������Ƴ������������ �������Ƴ�������做好管道沿程水力计算的关键。
(1)����� �������Ƴ������������ �������Ƴ����������� �������Ƴ������������ �������Ƴ�������当量粗糙度Δ
当量粗����� �������Ƴ������������ �������Ƴ������������ �������Ƴ����������� �������Ƴ�������糙度是自然(也有称工业)����� �������Ƴ������������ �������Ƴ������������ �������Ƴ������������ �������Ƴ�������管道,根据水力试验的成果,运用����� �������Ƴ������������ �������Ƴ������������ �������Ƴ������������ �������Ƴ�������达西公式和尼古拉兹公式计算出的理论值。����� �������Ƴ������������ �������Ƴ������������ �������Ƴ������������ �������Ƴ�������每种管材都有一个确定的当量����� �������Ƴ������������ �������Ƴ������������ �������Ƴ������������ �������Ƴ�������粗糙度,且不因流态不同而改变,在判别����� �������Ƴ������������ �������Ƴ������������ �������Ƴ������������ �������Ƴ�������水流流态和选择其他计算公式参数时,经常用����� �������Ƴ����������� �������Ƴ������������ �������Ƴ������������ �������Ƴ�������到当量粗糙度。
(2)摩阻系数λ
摩阻系数λ可应用在不同的����� �������Ƴ������������ �������Ƴ������������ �������Ƴ������������ �������Ƴ�������阻力特征区,不同区间λ的数值不一样。在紊流的����� �������Ƴ����������� �������Ƴ������������ �������Ƴ������������ �������Ƴ�������光滑区,λ数值仅与雷诺数(Re)有����� �������Ƴ������������ �������Ƴ������������ �������Ƴ������������ �������Ƴ�������关,且随雷诺数(Re)的增����� �������Ƴ����������� �������Ƴ������������ �������Ƴ������������ �������Ƴ�������大而减小;在紊流过渡区,λ与雷诺数(����� �������Ƴ������������ �������Ƴ������������ �������Ƴ������������ �������Ƴ�������Re)和相对粗糙度(Δ/����� �������Ƴ������������ �������Ƴ����������� �������Ƴ������������ �������Ƴ�������d)两个因素有关;在紊流粗糙区仅和相对粗糙度����� �������Ƴ������������ �������Ƴ������������ �������Ƴ����������� �������Ƴ������(Δ/d)有关,只要管材与管径确定(即相对粗糙����� �������Ƴ������������ �������Ƴ������������ �������Ƴ����������� �������Ƴ�������度Δ/d确定),在该区λ数值应为定����� �������Ƴ������������ �������Ƴ������������ �������Ƴ������������ �������Ƴ������值。
(3)粗糙系数n
粗糙系数n是采用巴甫洛夫公式����� �������Ƴ������������ �������Ƴ������������ �������Ƴ������������ �������Ƴ�������和曼宁公式计算谢才公式C时的参数,����� �������Ƴ������������ �������Ƴ������������ �������Ƴ������������ �������Ƴ�������它适用于紊流的粗糙区,在该区可根据管材����� �������Ƴ������������ �������Ƴ������������ �������Ƴ������������ �������Ƴ������内壁光滑程度,选择相应的n值,但����� �������Ƴ����������� �������Ƴ������������ �������Ƴ������������ �������Ƴ�������一般情况n的取值范围宜大于0.010����� �������Ƴ����������� �������Ƴ������������ �������Ƴ������������ �������Ƴ�������,否则计算成果误差较大。
(4)海曾—威廉系数C����� �������Ƴ������������ �������Ƴ������������ �������Ƴ������������ �������Ƴ������h
海曾—威廉系数适用����� �������Ƴ������������ �������Ƴ������������ �������Ƴ������������ �������Ƴ�������紊流过渡区,Ch取值范围宜大于1����� �������Ƴ������������ �������Ƴ������������ �������Ƴ������������ �������Ƴ�������20,否则计算成果误差较大。
2.2 相应的紊流阻力特征区内不同摩����� �������Ƴ������������ �������Ƴ������������ �������Ƴ������������ �������Ƴ�������阻系数间的对应关系
(1)
(2)紊流粗糙区(其中y采用巴甫����� �������Ƴ������������ �������Ƴ������������ �������Ƴ������������ �������Ƴ�������洛夫公式计算,若y=1/6即为曼宁公式,这时)
3.1 《室外给水设计规范》GBJ13-86修编建议沿程水头损失摩阻系数(����� �������Ƴ������������ �������Ƴ������������ �������Ƴ������������ �������Ƴ�������△、n、Ch)取值见表2。
管道沿程水头损失(n Ch △)值 表2
|
管道种类
|
n(粗糙系数)
|
Ch(海曾-威廉系数)
|
△(mm)(当量粗����� �������Ƴ����������� �������Ƴ������������ �������Ƴ������������ �������Ƴ�������糙度)
|
|
钢管、铸铁管
|
水泥砂浆内衬
|
0.011~0.01����� �������Ƴ������������ �������Ƴ������������ �������Ƴ������������ �������Ƴ�������2
|
120~130
|
|
|
涂料内衬
|
0.0105~����� �������Ƴ������������ �������Ƴ������������ �������Ƴ������������ �������Ƴ������0.0115
|
130~140
|
|
|
旧钢管、旧铸铁管(未做内衬)
|
0.014~0.018����� �������Ƴ����������� �������Ƴ������������ �������Ƴ����������� �������Ƴ�������
|
|
|
|
混凝土管
|
预应力砼管(PCP)
|
0.012~0.013
|
110~130
|
|
|
预应力钢筒砼管(PCCP)
|
0.011~0.0125
|
120~140
|
|
|
现浇矩形混凝土管(����� �������Ƴ����������� �������Ƴ������������ �������Ƴ������������ �������Ƴ�������渠)道
|
|
0.012~0.0����� �������Ƴ������������ �������Ƴ������������ �������Ƴ������������ �������Ƴ�������14
|
|
|
|
化学管材(聚乙烯管、聚氯乙烯管、玻璃����� �������Ƴ����������� �������Ƴ����������� �������Ƴ������������ �������Ƴ�������钢夹砂管等),内衬涂塑管
|
|
|
140~150
|
0.010~0.030
|
结论:沿程水头损失计算����� �������Ƴ������������ �������Ƴ������������ �������Ƴ������������ �������Ƴ�������是输配水管道设计的基础,正确的选用计����� �������Ƴ������������ �������Ƴ������������ �������Ƴ������������ �������Ƴ�������算公式和采用适宜的摩阻系数,计算成果����� �������Ƴ������������ �������Ƴ������������ �������Ƴ������������ �������Ƴ�������才能真实的反映管道的水力����� �������Ƴ������������ �������Ƴ������������ �������Ƴ������������ �������Ƴ�������特性。为保证输配水管道工程设计质量,提高工程����� �������Ƴ������������ �������Ƴ������������ �������Ƴ������������ �������Ƴ�������的经济效益和规范水力计算方法